반응형

문제
https://www.acmicpc.net/problem/1991
1991번: 트리 순회
첫째 줄에는 이진 트리의 노드의 개수 N(1 ≤ N ≤ 26)이 주어진다. 둘째 줄부터 N개의 줄에 걸쳐 각 노드와 그의 왼쪽 자식 노드, 오른쪽 자식 노드가 주어진다. 노드의 이름은 A부터 차례대로 알파
www.acmicpc.net
이진 트리를 입력받아 전위 순회(preorder traversal), 중위 순회(inorder traversal), 후위 순회(postorder traversal)한 결과를 출력하는 프로그램을 작성하시오.

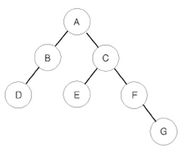
예를 들어 위와 같은 이진 트리가 입력되면,
- 전위 순회한 결과 : ABDCEFG // (루트) (왼쪽 자식) (오른쪽 자식)
- 중위 순회한 결과 : DBAECFG // (왼쪽 자식) (루트) (오른쪽 자식)
- 후위 순회한 결과 : DBEGFCA // (왼쪽 자식) (오른쪽 자식) (루트)
가 된다.
입력
첫째 줄에는 이진 트리의 노드의 개수 N(1 ≤ N ≤ 26)이 주어진다. 둘째 줄부터 N개의 줄에 걸쳐 각 노드와 그의 왼쪽 자식 노드, 오른쪽 자식 노드가 주어진다. 노드의 이름은 A부터 차례대로 알파벳 대문자로 매겨지며, 항상 A가 루트 노드가 된다. 자식 노드가 없는 경우에는 .으로 표현한다.
출력
첫째 줄에 전위 순회, 둘째 줄에 중위 순회, 셋째 줄에 후위 순회한 결과를 출력한다. 각 줄에 N개의 알파벳을 공백 없이 출력하면 된다.
코드
import sys
input = sys.stdin.readline
n = int(input())
inputs = []
for _ in range(n):
inputs.append(input().split())
class Node():
def __init__(self, item, left, right):
self.item = item
self.left = left
self.right = right
def preorder(node):
print(node.item, end = '')
if node.left != '.':
preorder(tree[node.left])
if node.right != '.':
preorder(tree[node.right])
def inorder(node):
if node.left != '.':
inorder(tree[node.left])
print(node.item, end = '')
if node.right != '.':
inorder(tree[node.right])
def postorder(node):
if node.left != '.':
postorder(tree[node.left])
if node.right != '.':
postorder(tree[node.right])
print(node.item, end = '')
tree = {}
for item, left, right in inputs:
tree[item] = Node(item, left, right)
preorder(tree['A'])
print()
inorder(tree['A'])
print()
postorder(tree['A'])
문제 해결
트리의 전위순회, 중위순회, 후위순회를 기초적인 재귀함수로 구현했고 트리를 Class Node()로 쉽게 구현했다.
코드가 가독성이 좋으니 읽어보면 될 듯 하다.
반응형
'Problem Solving > 백준' 카테고리의 다른 글
| [백준] 2004번: 조합 0의 개수 - [Python/파이썬] (0) | 2023.04.14 |
|---|---|
| [백준] 2003번: 수들의 합2 - [Python/파이썬] (0) | 2023.04.14 |
| [백준] 1987번: 알파벳 - [Python/파이썬] (1) | 2023.04.14 |
| [백준] 1978번: 소수 찾기- [Python/파이썬] (0) | 2023.04.14 |
| [백준] 1963번: 소수 경로 - [Python/파이썬] (0) | 2023.04.14 |